返回首页
当前位置: 主页 > Excel教程 > Excel函数教程 >

Excel中GAMMADIST函数的语法和用法

时间:2018-10-15 00:32来源:Office教程学习网 www.office68.com编辑:麦田守望者

本文介绍Microsoft Excel中GAMMADIST函数的语法和用法。

GAMMADIST函数适用于:Excel2003、Excel2007、Excel2010、Excel2013、Excel2016。

函数说明

GAMMADIST函数的主要作用是返回伽玛分布。可以使用此函数来研究具有偏态分布的变量。伽玛分布通常用于排队分析。

函数语法

GAMMADIST(x,alpha,beta,cumulative)

GAMMADIST(用来计算伽玛分布的数值,分布参数,分布参数,逻辑值)

参数说明

X:为用来计算伽玛分布的数值。

Alpha:分布参数。

Beta:分布参数。如果 beta = 1,函数 GAMMADIST 返回标准伽玛分布。

Cumulative:为一逻辑值,决定函数的形式。如果 cumulative 为 TRUE,函数 GAMMADIST 返回累积分布函数;如果为 FALSE,则返回概率密度函数。

函数备注

  • 如果 x、alpha 或 beta 为非数值型,函数 GAMMADIST 返回错误值 #VALUE!。 

  • 如果 x < 0,函数 GAMMADIST 返回错误值 #NUM!。 

  • 如果 alpha ≤ 0 或 beta ≤ 0,函数 GAMMADIST 返回错误值 #NUM!。 

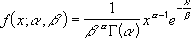
伽玛概率密度函数的计算公式如下: 

伽玛概率密度函数的计算公式

标准伽玛概率密度函数为:

标准伽玛概率密度函数

  • 当 alpha = 1 时,函数 GAMMADIST 返回如下的指数分布: 

函数 GAMMADIST 返回的指数分布

  • 对于正整数 n,当 alpha = n/2,beta = 2 且 cumulative = TRUE 时,函数 GAMMADIST 以自由度 n 返回 (1-CHIDIST(X))。 

  • 当 alpha 为正整数时,函数 GAMMADIST 也称为爱尔朗 (Erlang) 分布。 

函数示例

以下是Excel中使用GAMMADIST函数效果截图

Excel中使用GAMMADIST函数

------分隔线----------------------------
标签(Tag):GAMMADIST函数
------分隔线----------------------------
推荐内容
猜你感兴趣