返回首页
当前位置: 主页 > 其他教程 > OneNote教程 >

如何在 OneNote 中使用线性格式输入数学公式

时间:2018-05-28 11:45来源:Office教程学习网 www.office68.com编辑:麦田守望者

按 Alt+=,就可以开始输入公式。

用键盘输入线性公式
若要对齐公式数组,您可以使用 @ 和 &:

\eqarray(x+1&=2@1+2+3+y&=z@3/x&=6)<space>

将被解析为:

Picture

 
示例:

示例

线性格式

合成格式

向量

(abc)\vec<space><space>

向量

 

(abc)\hat<space><space>

向量

带框公式

\rect(a/b)<space>

带框公式

括号

(a+b/c)<space>

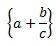
带括号的公式

 

{a+b/c}<space>

带括号的公式

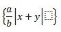
带分隔符的括号

{a/b\vbar<space>x+y\vbar<space>}<space>

带括号和分隔符的公式

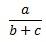
分数

a/(b+c)<space>

分数

LeftSubSup

_a^b<space>x<space>

LeftSubSup

限制

lim_(n->\infty)<space>n

限制

矩阵

(\matrix(a&b@&c&d))<space>

矩阵和公式数组

N 元

\iint_(a=0)^\infty<space><space>a

N 元

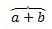
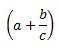
顶线/底线

\overbar(abc)<space>

顶线

 

\overbrace(a+b)<space>

上方大括号

------分隔线----------------------------
标签(Tag):onenote OneNote标尺功能
------分隔线----------------------------
推荐内容
猜你感兴趣