|
在科技读物中,数学公式间距很重要。对数学公式的版式有基本格式的要求,一般情况下需要另起一行、居中排列。对字母、符号的大小写也有严格的规定。数学公式排版的基本格式主要有字母字体的应用、间距空格、居中排列、序号排列、转行分拆。
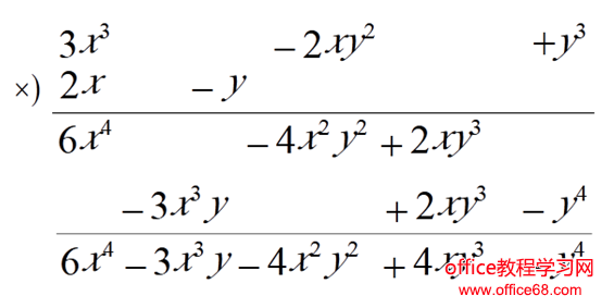
数学公式中字距空格主要应用在以下方面:正体与正体之间,斜体与斜体之间,正体与斜体之间,数码与度量衡单位之间,单位与叠码之间。 公式中各种符号、数字之间的间距疏密要匀称合理,既不能太紧密,也不能太松散。其标准为一是便于阅读,二是版面美观。在计算机排版系统的字库中,各个数字、外文字母、符号的字面宽度要求不完全相同。因此,数字与符号、符号与符号间是否加空,加多少空,要根据具体情况区别对待。 温馨提示:不论是单行式还是叠列分式,一般要求居中排列。如下图所示:
数学公式间距追求的是便于阅读和版面美观,MathType官网可免费下载MathType 6.9简体中文版。 |

