|
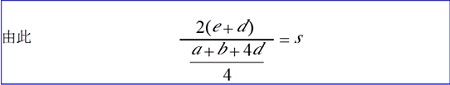
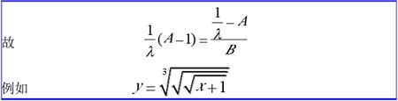
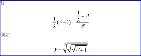
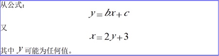
Mathtype是一款功能强大的公式编辑器,可以编辑各类公式。含有公式的文档中,数学公式另行居中排列,有的公式较短,而在公式之前的文字往往很少,如果完全按照另行用正文距来排,不但版面不节约,并且也太松散,不够均匀美观。本教程主要讲解了数学公式在文档中节约版面的格式处理方法。 节约版面的格式处理方法主要有以下两种: 1.公式前后镶字 (1)为了节约版面,在不影响公式居中时,可把简短的说明文字与公式排在同一行内,这样就能节省一行。公式前镶字,原则上以6个字为限,接排的公式仍应依照版心左右居中排列,公式与前面的文字之间至少空2个字。其格式如下: ![]() (公式前的“□”代表所向前的字) 在少数情况下,也有在公式后面镶字,或在同一行中两个公式之间镶字“或、及、和”等字的。如: ![]() 如在同一行中两式之间镶字,则在公式与中文字之间空1个字;式与式之间有标点“、”或“,”或“;”时,则式与标点之间空1个字;特殊情况可伸缩。 (2)如公式的后面有序号,则公式前不能镶字。如: ![]() 这主要是因为入如果前后镶字,形成包围,看起来就不能条理分明了。 (3)如果是在叠式前镶字,文字应该排在与主线同一条的水平线上。如: ![]() “由此”两字应该排在“=”、也就是主线的同一水平线上,不应该居中和“a+b+4d”放在同一行上。 但是对于多重根式及分子是叠式的繁分式,如把说明文字镶排在主线行上,版式反而不美观。如: ![]() 这时,说明文字就宜排成另行独立。如: ![]() (4)如果公式前用数学符号“∵”、“∴”来替代“因为”、“所以”汉字时,原则上跟公式居中排,符号与公式之间空1个字。如: ![]() 2.调节行距(行距缩借) 调节行距就是采用在公式的上下行缩小行距的方法节约版面,并使版面显得均匀美观。 (1)缩小行距:在公式前的文字如果字数不多,而公式较短,按正文行间排法,空挡必然较大,可以缩小公式和文字之间的行距。 ![]() 因此可排成: ![]() 缩小行距的方法,对节约版面效果虽不及公式前镶字的方法那样大,但可是版面均匀美观。 (2)当文字的上下行两行都有叠式,而这些叠式的位置又是左右开叉时,可缩借上行与下行空位,缩小行距,在排版上称为“咬紧”,这样,不但节约版面,而且会使行距均匀,版面美观。如: ![]() 可排成: ![]() 上面的排法就是缩小行距后咬紧的样子。但是,如果上下行的叠式非常靠近,则缩小行距后,叠式会变得过分靠拢,反而不美观了。这就可以空足行间距离或适当少空一些行间距离。 (3)嵌在第一行或末一行的文字中的叠式,如果式子很短,当在第一行时,而且偏左一边,不予上面的书眉或页码重叠,就可以缩小书眉与第一行间的行距,是叠式的分子部分向上伸半个字。当在末一行是,可以缩小末一行与地脚键的行距,使叠式的分母部分向下面伸下半个字。这样做法,可以不影响版面整个行数,不但节约版面,而且可以避免版面的松散。 |










