|
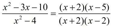
在数学中常常要在等式中约去相同因式,并模仿出约去的标记。在电脑中要模仿约去的标记并不是那么容易,但是用MathType输入约去分式,可以达到效果。假设使用的等式如下图所示: ![]() 要约去等式中相同因式,可以用MathType的“约去”划线模板来完成,具体操作步骤如下: 1.打开MathType软件,在分式模板中选择标准分式输入分式。在“=”输入好后插入第二个分式模板。 在分式模板中选择标准分式输入分式 2.在底线与顶线模板中选择划线模板。 在底线与模板中选择划线模板 3.在分子中输入第一个分式,输入完括号后按下Tab键退出划线模板,再继续输入第二个分式,输入后如下图所示。 输入第一个分式后按Tab键后再输入第二个分式 4.按相同方法输入分母,得到如下图所示约去分式格式。 采用相同的方法输入约去分式的分母 这种方法可以很好地显示分式运算过程,用MathType编辑公式时可以很好地体现这一点。 |
