如何实现在Word中用英语编号取代通俗的数字
日期:2017-04-19 21:24:16
点击:200
好评:12
通常我们在Word中编写文本的时候,有时会用到编号的功能,对编写的文章进行编号,大家通常所见的就是普通的数字编号,其实你可以使用一些特别的编号形式,例如英语,它可以使得你的文h2看起来别出心裁,给人耳目一新的感觉,那么这样的英语编号我们该如何进行设置呢,我相信大家通过以下的步骤一定会明白的。 操作步骤 1...
Word 2010中图片任你旋转实现教程
日期:2017-04-18 09:12:31
点击:200
好评:4
在Word2010中图片也可以任由你旋转,你是不是很诧异呢,其实我相信大家已经会了一种旋转的方法,在这里,小编就在提起这种方法的同时也来教大家另一种方法。在我们的文档中,让我们的图片实现一定角度的旋转,可以使我们的文档看起来别有一番韵味,接下来就一起来学一下吧。 一、鼠标式旋转 1 首先打开我们的Word文档,在...
巧用MathType的悬浮工具栏
日期:2017-04-07 14:51:31
点击:200
好评:4
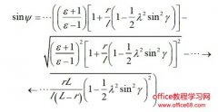
通过使用MathType的自定义公式来编写公式将会节省你大量的时间,本教程讲解使用MathType的悬浮工具栏快速编写统计学公式。下面我们来研究一个初等统计学的数学公式来讲解如何巧用mathtype 悬浮工具栏 。 许多统计学公式总使用符号,并且他们经常涉及到各种各样的组合诸如: ,当处理这些反复出现的组合时,通过使用MathTyp...
MathType根式的分拆转行技巧
日期:2017-04-07 14:50:44
点击:200
好评:0
MathType编辑的根式基本上以不作分拆转行为原则,若根式超长而需要分拆转行时,可把根号线割断,然后按照常规将 根式分拆转行 。为了使根式分拆有所标识,应在所切割的跟号线上段的末尾加排标志,根号线下端的开头加排标识,如以下根式: 也可以用数学分指数的方法来分拆根式。将根号形式变换为指数形式的通式是: 其指数...
如何删除Word2010中的MathType菜单
日期:2017-04-07 14:29:08
点击:200
好评:2
在电脑上安装了MathType 6.9中文版后,在Word 2010的中会多出一个 MathType的菜单 ,这个菜单方便插入公式,但也有人不太喜欢,因为会影响Word的运行速度。那么该如何删除呢?以下步骤教您如何删除Word2010中的MathType菜单: 第一步 安装了MathType 6.9后,在Word 2010的中会多出一个MathType的菜单,如下图所示 第二步点...
如何摆脱频按回车键分页的烦恼,Word快速分页有绝招
日期:2017-03-31 14:49:23
点击:200
好评:8
你发现了吗?如果我们分页的时候是频按回车键直到分页的,这种方法不仅麻烦,而且每当上一页的行数有变动的时候,都会直接影响到下一页。其实,Word中快速分页我有绝招哦,下面,我们以Word2007为例来试试。 操作步骤 1 用Word2007打开一篇文档,选中我们需要分页的位置。 选择分页位置 2 现在,我们在键盘上按Ctrl+回车键...
如何在Word 2010中给你的文字也加个“菱形”框
日期:2017-03-31 14:46:58
点击:200
好评:0
在Word2010中文字部分也可以加上菱形的边框,你是不是很诧异呢,把文本中的文字加上边框,在起到了美化文字的同时,也增加了吸引力,尤其是在一些需要进行解释或者是特别标注字词上,加上一些边框,读者就能够很快的抓住文章的重点部分,那么如何做到给我们的文字穿上边框大衣呢,小编就在这里给大家支几招吧。 操作步骤 1...
Word 2010 如何限制文档编辑,给文档也来申请一次专利吧
日期:2017-03-15 15:10:41
点击:200
好评:6
当用户自己编写好的文档被放在网上参阅或者被别其他人哪去做资料参考的时候,往往会对面自己的文章被篡改的问题,那么如何能保障自己的文档在帮助到别人的过程中还可以保证安全性呢,而Word2010就可以帮助你给文档申请一个专利,以防被改编,现在就让小编给大家支几招吧。 操作步骤 1 打开一篇原始文档,点击审阅选项卡,...
利用Word 2010,再也不用担心“生字”不会读了
日期:2017-03-15 15:06:13
点击:200
好评:0
用户在读文本的过程中难免会遇到一些生字或者是需要把一些字词进行拼音标注的问题,现在Word2010就可以帮助你解决麻烦,把文本中的字词标注上拼音,有利于用户很快的认知该词,接下来小编就带领大家一起学习一下吧。 操作步骤 1 打卡一篇原始文稿,用鼠标选中不认识的字,或者是需要进行拼音标注的部分文字,点击开始选项...
Word 2010中图片如何代替文字
日期:2017-03-08 14:07:07
点击:200
好评:4
一般情况下,用户都是通过在Word中插入一些图片,为了美观或者是进行图片背景的设置,但是在我们的文档中,也可以用图片代替文字,那么这个到底是怎么做到的呢,现在大家就跟着小编一起来领教一下这个功能吧。 操作步骤 1 打开一篇文档的原始文件,在文档里面插入一张图片,如下; 打开一篇文档 2 点击鼠标右键,把插入的...
控制Word 2010的自动编号或是多级列表,对于很多人来说,也许一直以来都是非常头痛的...
您可能会邀请同事对您的文档做一个完善或是修改,可是您却希望能够知道他究竟修改了哪...
与数学相关的文档中经常会需要输入直径符号,如果我们对Word不是很熟悉的话,可能会不...
当用户在Word中进行编辑的时候需要进行一些排序,这个时候我们就会使用上带圈的字符,...
在平时的工作学习中通常会对Word文档中文章进行各种分隔线的标注,比如双行线,虚线等...
大家都知道当我们在过年的时候,家家户户都胡贴春联,有的还要贴福到了的帖子,意味着...