|
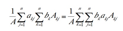
限于版面的横向尺寸,对超长的叠式可以分拆转行。一般包括常规性的转行分拆、积分式的转行分拆、分子或分母的转行分拆和根式的转行分拆等几种方法。叠式转行分拆也有一定的规则,不能乱拆,否则要造成数据运算错误的后果!下面我们来具体讲解MathType中叠式的常规性转行分拆规则: 叠式的常规性转行分拆原则,与单行数式相同。但对于一些特殊的数学符号,不能与其后边的被运算对象分拆。如以下等式:
![]()
不能分拆转行成:
![]()
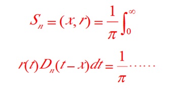
又如以下等式:
![]()
不能分拆成:
![]()
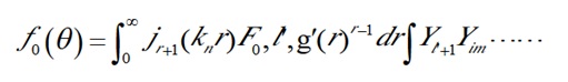
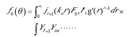
累次求和或累次积分等的叠式,原稿是一行写下的,最好不要转行,假如限于版面尺寸必须转行时,可在积分号前转行,但在分拆处必须加上“×”号。如:
![]()
可以转行分拆成:
![]()
通过学习MathType叠式的常规性转行分拆的教程,在编辑叠式数式的时候就可以按照排版规则来编写,也不会造成运算错误。 |





