|
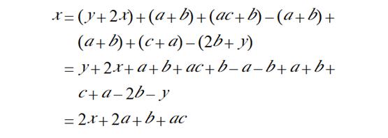
超过3/4版心的较长数式,可以采取转行分拆。当一个表达式或方程式需要断开,用两行或多行来表示时,最好在紧靠其中记号=、+等处断开,用在下一行开头,不重复这一记号。等号“=”可以放在转行的开头,数式中两式互乘时,有时不加乘点,但在转行处必须加上。转行分拆主要有宝塔式和阶梯式两种。 宝塔式排法 单层的长式,转行后成为2行时,适用宝塔式,即上行长、下行处短,上下均左右居中排。如: ![]() 阶梯式的排法 如果一个单层长式,转行后成两行时,上行短、下行长,或者是两行长短接近,可排成阶梯形,但须使整个长式以上行的行首至下行的行尾居版心左右的中间。如: ![]() 凡是一个长式要多次转行时,式中有“=”的,可在“=”处转行,上下行首“=”对齐,但要保持整个算式居版心左右中间。如: ![]() 若无“=”,在“+”、“-”处转行,转行行首要缩进“=”号后面一格。如: ![]() 如果既有“=”号转行,又有“+”号转行时,仍按上面转行的规则,转行的“=”与“=”对齐;转行行首对齐,并缩进“=”号后面一格。如: ![]() |




