|
使用MathType公式编辑器编辑公式时,关于排版其实有很多要注意的地方!尤其是在叠式排版里面需要注意的地方更多,本教程将详解MathType重叠数式的排版规则 重叠数式简称叠式,排版版式上的叠式就是数学上的分式,它的结构形式是在中间分式线(简称“分线”)的上下排分子和分母,形成了重叠层次,所以称为叠式。 叠式按照重叠层次,两层的称为双层叠式,三层的、四层的称为三层、四层叠式,最多有八层的,统称为多层叠式。多层叠式就是数学的繁分式。 叠式排版的基本规则是:分式中间的分线,应比这个公式中最长的分子或分母两端长出一定长度。分排在分线上下的分子、分母,也应排在分线的左右居中位置。排叠式时应由左向右,从上到下,依次排。 1.一般的双重叠式,如:
![]()
这个叠式除分线比上面的分子和下面的分母两端各长出一定长度外,字母C与分线间也应适当空开,不可排成:
![]()
2.三重以上的叠式,如:
![]()
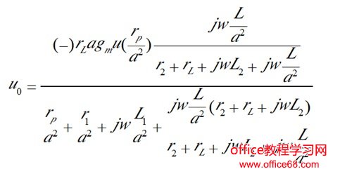
多层叠式排版时分式的主线,不仅要比它们上面和下面次一层的分线两端长出一定长度,而且必须与主体符号(“=”)对齐。 3.复杂重叠数式 复杂重叠数式是指有根号的叠式、积分号上下限的叠式、上角指数加分数线的叠式等。如:
![]()
以上就是关于叠式的排版规则,希望能够对于大家以后在使用MathType时能够有所帮助,从而让大家编辑的公式变得更加的规范! |



