Excel中IMSIN函数的语法和用法
日期:2019-04-08 22:06:26
点击:200
好评:0
本文介绍Microsoft Excel中 IMSIN函数 的语法和用法。 函数说明 IMSIN函数的主要作用是返回到期一次性付息有价证券的应计利息。 如果该函数不可用,并返回错误值 #NAME?,请安装并加载分析工具库加载宏。可以参考文章:Office2003安装并加载分析工具库加载 函数语法 ACCRINTM(issue,maturity,rate,par,basis) ACCRINTM(有...
Excel中ACCRINT函数的语法和用法
日期:2019-04-08 22:05:14
点击:200
好评:0
本文介绍Microsoft Excel中 ACCRINT函数 的语法和用法。 函数说明 ACCRINT函数的主要作用是返回定期付息有价证券的应计利息。 如果该函数不可用,并返回错误值 #NAME?,请安装并加载分析工具库加载宏。可以参考文章:Office2003安装并加载分析工具库加载 函数语法 ACCRINT(issue,first_interest,settlement,rate,par,frequ...
Excel中OCT2BIN函数的语法和用法
日期:2019-04-08 22:01:19
点击:200
好评:0
本文介绍Microsoft Excel中 OCT2BIN函数 的语法和用法。 函数示例 OCT2BIN函数的主要作用是将八进制数转换为二进制数。 如果该函数不可用,并返回错误值 #NAME?,请安装并加载分析工具库加载宏。可以参考文章:Office2003安装并加载分析工具库加载 函数语法 OCT2BIN(number,places) OCT2BIN(待转换的八进制数,所要使用的字...
Excel中IMSUM函数的语法和用法
日期:2019-04-08 22:00:24
点击:200
好评:0
本文介绍Microsoft Excel中 IMSUM函数 的语法和用法。 函数说明 IMSUM函数的主要作用是返回以 x+yi 或 x+yj 文本格式表示的两个或多个复数的和。 如果该函数不可用,并返回错误值 #NAME?,请安装并加载分析工具库加载宏。可以参考文章:Office2003安装并加载分析工具库加载 函数语法 IMSUM(inumber1,inumber2,...) IMSUM(...
Excel中IMSUB函数的语法和用法
日期:2019-04-08 21:58:58
点击:200
好评:0
本文介绍Microsoft Excel中 IMSUB函数 的语法和用法。 函数说明 IMSUB函数的主要作用是返回以 x+yi 或 x+yj 文本格式表示的两个复数的差。 如果该函数不可用,并返回错误值 #NAME?,请安装并加载分析工具库加载宏。 函数语法 IMSUB(inumber1,inumber2) IMSUB(被减(复)数,减(复)数) 参数备注 使用函数 COMPLEX 可以将实...
Excel中GAMMADIST函数的语法和用法
日期:2018-10-15 00:32:31
点击:200
好评:0
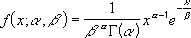
本文介绍Microsoft Excel中 GAMMADIST函数 的语法和用法。 GAMMADIST函数适用于:Excel2003、Excel2007、Excel2010、Excel2013、Excel2016。 函数说明 GAMMADIST函数的主要作用是返回伽玛分布。可以使用此函数来研究具有偏态分布的变量。伽玛分布通常用于排队分析。 函数语法 GAMMADIST(x,alpha,beta,cumulative) GAMMADIS...
Excel中CLEAN函数的语法和用法
日期:2018-10-10 13:26:21
点击:200
好评:0
本文介绍Microsoft Excel中 CLEAN函数 的语法和用法。 CLEAN函数适用于:Excel2003、Excel2007、Excel2010、Excel2013、Excel2016 函数用途 CLEAN函数的主要作用是删除文本中所有不能打印的字符。 说明:非打印字符指在计算机中有一些字符是确确实实存在,但是它们不能够显示或者打印出来。以ASCII码表为例,ASCII码值在0-3...
Excel中CHAR函数的语法和用法
日期:2018-10-10 13:23:28
点击:200
好评:0
本文介绍Microsoft Excel中 CHAR函数 的语法和用法。 CHAR函数适用于:Excel2003、Excel2007、Excel2010、Excel2013、Excel2016 函数用途 返回对应于数字代码的字符。 操作环境 字符集 Mac Macintosh字符集 Windows ANSI 函数语法 CHAR(number) CHAR(需要返回代码数字的字符) 参数说明 Number 必输项。 1、数字必须介于1到...
Excel中BAHTTEXT函数的语法和用法详解
日期:2018-10-10 13:20:55
点击:200
好评:0
本文介绍Microsoft Excel中 BAHTTEXT函数 的语法和用法。 BAHTTEXT函数适用于Excel2003、Excel2007、Excel2010、Excel2013、Excel2016。 函数用途 将数字转换为泰语文本并添加后缀泰铢。 函数语法 BAHTTEXT(number) BAHTTEXT(需要转成文本的数字) 参数说明 Number 必输项。 1、需要转成文本的数字 2、包含数字单元格的引用...
Excel中ASC函数的语法和用法
日期:2018-10-10 13:18:20
点击:200
好评:0
本文介绍Microsoft Excel中 ASC函数 的语法和用法。 ASC函数适用于:Excel2003、Excel2007、Excel2010、Excel2013、Excel2016 函数用途 ASC函数主要作用是将全角字符转换成半角字符。 函数语法 ASC(text) ASC(文本或包含需要转半角的单元格的引用) 参数说明 Text 必输项。文本或包含需要转半角的单元格的引用,如果文本中...
查找替换是 Excel 里一个非常基础的功能,按 Ctrl+F 可以直接打开查找对话框,按 Ctrl...
在Excel中有超过300个函数供人们使用。今天我们先了解下 excel中函数的使用方法 ,这...
今天我们要接触一个新名词,那就是带宽图,什么是excel带宽图呢,带宽图就是在图表上...
Excel中合并单元格,小编一直觉得是制表的大忌,让我们后续数据处理增加不少难度。但...
通过案例来学习sumif函数的使用方法以及怎么使用sumif函数相关案例. 说到条件求和函数...
问题:如何统计包含某个关键词的数量 解答:利用countif的模糊统计功能就可以搞定。 ...