怎样使分栏后的MathType公式编号右对齐
日期:2017-05-26 12:50:27
点击:200
好评:0
在Word中编写论文时,有时会需要将Word分成两栏或者三栏进行排版,在Word分栏后,很多人发现原先已经编辑排好的 MathType公式编号 无法在栏内右对齐,如何解决? 解决方法如下: 1.在Word中编辑好公式与文字后,先不要对公式进行编号并居中对齐,而是选中文字,在Word中选择格式分栏,选择你想要的分栏模板。 Word分栏示例...
MathType如何输入对数函数
日期:2017-05-26 12:49:37
点击:200
好评:2
介绍 MathType对数函数 的输入方法。 操作步骤如下: 1.打开MathType编辑窗口,用键盘依次输入l、o、g。 利用键盘依次输入l、o、g 2.使用MathType工具栏中的上标与下标模板,选择下标模板,输入底数a。 利用下标模板输入底数a 3.将光标移出,再输入x即可。选中输入的函数,直接拖动到标签栏中进行保存,以后可以直接调用。...
MathType如何快速输入公式
日期:2017-05-26 12:48:54
点击:200
好评:2
今天教大家如何利用 MathType快速输入 公式。 1.在MathType编辑窗口中,选择编辑打开数学输入面板。 在编辑中选择打开数学输入面板 2.打开后,可以用鼠标随意写一些公式,如果你用的是触屏电脑,那么可以用手写输入数学公式,你输入的公式,输入面板会进行自动识别与存储,使用时可以随时调用,点击插入即可插入到文档中。...
怎样用MathType编辑偏导数
日期:2017-05-26 12:45:19
点击:200
好评:0
利用MathType在Word中编辑公式很方便,省去不少麻烦。但数学公式种类繁多,对于一些特定的公式符号,人们总是不知道怎么输入,例如偏导数符号。下面就介绍利用 MathType编辑偏导数 的方法。 比如这样一个求偏导的公式: 具体步骤如下: 1.在MathType编辑窗口中,输入z后使用下标与上标模板中的下标模板,输入下标x。 输入...
怎样用MathType输入n次根式
日期:2017-05-12 12:54:28
点击:200
好评:0
那么n次方的 MathType根式 该怎样输入呢? 具体操作步骤如下: 1.打开MathType软件,在分数与根号模板中选择带有上标的n次方根号模板。 在分数与根号模板中选择n次方根 2.输入所需的公式,关闭保存即可。 在对应的位置输入所需的公式 以上向大家介绍了用MathType输入n次根式的操作过程。MathType根式的输入很简单,但是需...
如何利用MathType将公式转换到插图中
日期:2017-05-12 12:53:46
点击:200
好评:0
在涉及到理科书籍的出版中,Word中公式转换成插图中的公式时,总是会出现分辨率低看不清楚的问题,用图片软件中的文字工具又无法修改,本文将讲解如何利用 MathType公式编辑器 将Word中的公式转换成插图公式。 具体步骤如下: 1.打开Word文件找到需制作的插图,选中所需转换的图复制到图片软件(如PhotoShop)中,将图片的...
如何用MathType编辑方程组
日期:2017-05-12 12:53:02
点击:200
好评:0
MathType最强大的功能在于对公式方程的编辑排版,不仅可以编辑单个公式,还可以对编辑方程组进行编辑与排版,那么如何使用 MathType编辑方程组 使之美观大方呢?下面就对此加以简单介绍。 如输入一个三行的方程组: 三行方程组示例 具体操作步骤如下: 1.在分隔符模板中选择MathType大括号模板,输入第一个公式,输入完成...
MathType输入弧度符号的两种方法
日期:2017-05-12 12:50:54
点击:200
好评:2
本文介绍怎么用 MathType输入弧度符号 。 角度以弧度给出时,通常不写弧度单位。 方法一:直接输入 1.打开MathType软件后,在几何标签下选择已经保存的弧度标志。 在几何标签中选择已经保存的弧度标志 方法二:分步输入 1.打开MathType软件后,在MathType工具栏中选择底线和顶线模板,选择弧。 在MathType工具栏选择弧模板...
怎样用MathType输入真子集符号
日期:2017-05-12 12:50:15
点击:200
好评:0
MathType可以输入很多符号,有些看似简单的符号却不是一下就能输出来的。就以集合中的真子集符号为例,我们怎样才能方便快捷地用 MathType输入真子集符号 。 用MathType输入真子集的方法有两种: 方法一:利用工具栏输入 1.打开MathType软件,在MathType工具栏的上标与下标模板中选择中上标。 在上标与下标模板中下标选择...
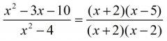
如何用MathType输入约去分式
日期:2017-05-12 12:49:27
点击:200
好评:0
在数学中常常要在等式中约去相同因式,并模仿出约去的标记。在电脑中要模仿约去的标记并不是那么容易,但是用MathType输入约去分式,可以达到效果。假设使用的等式如下图所示: 要约去等式中相同因式,可以用MathType的约去划线模板来完成,具体操作步骤如下: 1.打开MathType软件,在分式模板中选择标准分式输入分式。在=...
生活中,我们随处可见各式各样的二维码,手机支付、信息获...
Word应该是办公软件中使用频率最高的工具,但却一直不被很多人重视,以为它简单很容易...
在 Word 中,通过使用签名行能够对合同或其他协议等文档使用无纸化签署,例如为合同插...
作为一名办公人员,若遇到不会输入以及不认识的生僻字,可尴尬了。有办法解决呢?今天...
在使用Word排版文档的过程中,有一些功能我们会经常用到,比如插入文本框,图片、对齐...
大家知道写作文的稿纸是如何制作的吗?很多对Word有一定了解的小伙伴可能会说,利用Wo...