Word中输入带圈数字的方法大全
日期:2017-03-07 13:02:50
点击:200
好评:0
在编辑文档过程中,有时会遇到要输入带圈数字的情况,有时可能只要输入二位数字以下的,有时要输入三位数字以上的,让我们一起来看一看它们该如何输入。 一、用输入法输入 以万能输入法为例,打开万能输入法,同时按下 Ctr + 2,然后按 + 翻页,直到看带圈数字。 二、用 Word 带圏字工具输入 单击 Word 窗口右上角的带圈字...
word钢筋直径符号怎么快输入?
日期:2017-03-02 21:45:46
点击:200
好评:0
钢筋符号怎么输入?首先,我们需要先了解钢筋符号,钢筋符号又叫钢筋直径符号,钢筋符号是用来表示钢筋直径的一个符号,不论是在购买还是在使用,都应该看清楚钢筋直径符号,了解清楚钢筋直径,但是钢筋直径符号怎么打出来呢?就为大家介绍一下钢筋直径符号大全以及钢筋直径符号怎么打,希望能够对大家了解钢筋直径符号有所...
excel实现查找带颜色的单元格文字 Excel查找小技巧
日期:2017-02-28 21:29:29
点击:200
好评:2
今天同事给我传来个一张Excel表,让我帮他看单元格标红的数据写得对不对,一打开表格我就亮瞎了,他竟然是把字体颜色标红,不是填充颜色标红,表格也就1700多行吧,让我从茫茫表格中,找出红色了的字,小编觉得真是辣眼睛! 不过幸好excel查找可以按颜色查找,解救了我的眼! 下面一起来看看excel查找带颜色的单元格文字的...
Word 2013中一键完成简历模板制作实例教程
日期:2017-02-26 23:06:33
点击:200
好评:0
你还在网上找简历模板吗?你有在那些五花八门的模板中挑花眼吗?偷偷告诉你,其实,Word2013中也集成了很多种简历模板,以后需要简历的时候我们就找Word2013,它可以帮你一键轻松搞定。 操作步骤 1 打开Word2013,在右侧的白底区域中单击简历按钮。 单击简历按钮 2 我们在类别区域中选择自己需要的类别,并单击类别左侧的...
利用Word 2013中制作个人工作牌实例教程
日期:2017-02-26 22:50:27
点击:200
好评:16
你工作了吗?上班需要带上工作牌吗?那你又知道工作牌是怎么制作出来的吗?看看本文,你就一切都明白啦!如果你想DIY,也是没什么问题的哦! 参考下面的步骤就OK 1 用Word2013打开一篇文档,切换到插入选项卡,单击文本组的文本框命令,选择简单文本框。 2 此时,文档中已经插入了一个文本框,并且自动切换到了文本框工具-...
MathType的这些功能如何运用好?
日期:2017-02-25 00:07:26
点击:200
好评:4
MathType是一款功能强大的交互式公式编辑器,其有更多可控制改变的地方,如改变公式颜色和改变字体。还可以在MathML和 LaTeX之间进行格式转换,便于工作。本教程从这两方面来具体讲解了 MathType公式编辑器 的使用技巧,方便新用户快速入门。 颜色:使用颜色来突出一个等式的一部分,读者的注意力在只集中在你想要突出的部...
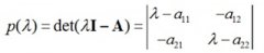
如何利用MathType的强大功能创建行列式
日期:2017-02-25 00:06:23
点击:200
好评:2
在本小节教程中,我们将使用MathType的强大功能来制作一个行列式,我们将创建如下图所示的 行列式 等式: 以下步骤教您如何创建等式: 1、输入等式的第一个项目,直至输入到等式的第二个=处;MathType将会识别出det是行列式函数的缩写,并将自动设置它为罗马字体样式,因此你将不必再修改它。注意到字母I和A代表矩阵,因此...
MathType真的可以输入音乐简谱吗?
日期:2017-02-24 23:59:46
点击:200
好评:4
MathType是一款神奇的公式输入软件,不仅可以输入数学、物理公式,还可以 输入音乐简谱 。本文将教你如何使用MathType公式编辑器输入音乐简谱。 MathType音符输入 下面介绍一下我的制作方法: 1.对于歌曲名、作者和调号(1=F),直接输入就可以了。 2.节拍的输入 对于节拍,可以用MathType公式编辑器的分式和根式模板来输...
MathType行列式的排版规则应用实例教程
日期:2017-02-24 23:58:25
点击:200
好评:4
使用MathType公式编辑器编辑公式时,在行列式的排版里面有需要注意的地方,本教程将详解 行列式的排版规则 。 在行列式中,横排的称为行,竖排的称为列。其行数与列数是想等,行列式的表示形式为|an|。行列式的符号是两根长的直线||,它的长度上齐第一行的字头,下齐末一行的字角。在行列式符号里面的字符称为元素,外面的...
如何在word中调整公式大小
日期:2017-02-24 23:52:58
点击:200
好评:0
在Word文档中某一行使用Mathtype公式编辑器输入数学公式后,往往公式所在行的行距明显变大,就好像公式把这一行和其它行给撑开了一样,非常不美观,使用改变行距的命令也不能解决问题。公式是以图片形式插入word文档的,可以使用缩放图片的形式来调整公式的大...
文档中一些内容输入有误,需要批量修改, 你是不是会有一种感觉:老天一定是在逗我! ...
我们经常会看到一些图书、杂志或报纸是的文字排版效果非常美观,层次清晰。 是为什么...
自动调整单元格大小其实是根据单元格中的内容而定的,挺好的功能,避免我们总是为单元...
相信绝大数的人不会去查看Word文档被修改过几次,觉得没什么用,但是这不代表在我们以...
Word文档内容若是太多的话,通常我们都会给文档添加页码,方便我们记住看到了哪一页,...
在编辑word文档时,有些重要的文字和段落可以通过设置背景色来标注,这样可以很明显的...