Word竖排文字的排版步骤图解教程
日期:2017-05-08 14:18:31
点击:200
好评:0
在我们的Word文档中我相信大家已经看到过很多的横排文字的排版,那么你想不想换一个新的排版方法呢,其实我们可以把横排的文字换成竖排的格式,在我们竖排的格式中,不仅富有新意,而且具有文化内涵,在古代,我们就可以看到很多竹条做成的书本,这和我们竖排文字的感觉是非常相似的,那么你想学会这一招吗,小编这就带领...
MathType公式文档节约版面的格式处理技巧
日期:2017-04-22 22:19:36
点击:200
好评:2
Mathtype 是一款功能强大的公式编辑器,可以编辑各类公式。含有公式的文档中,数学公式另行居中排列,有的公式较短,而在公式之前的文字往往很少,如果完全按照另行用正文距来排,不但版面不节约,并且也太松散,不够均匀美观。本教程主要讲解了数学公式在文档中节约版面的格式处理方法。 节约版面的格式处理方法主要有以...
用中文大写和中文小写书写阿拉伯数字
日期:2017-04-12 15:02:47
点击:200
好评:0
在我们的日常生活中,常常会看到或用到很多数字,通常这些数字都是采用的阿拉伯数字,即0、1、2、3、4、5、6、7、8、9。 阿拉伯数字的确便于我们计算、书写、阅读,但是,在某些场合却不得不使用中文大写数字或中文小写数字来替代阿拉伯数字。譬如,很多涉及到钱财的数字金额我们需要采用中文大写来书写,以防止被修改;一...
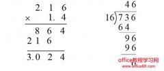
MathType数学竖式排版中不为人知的技巧
日期:2017-04-07 15:31:56
点击:200
好评:0
数学数式 一般涉及到三种类型,即算术加、减、乘、除的竖式,代数多式加法、乘法、除法的排法,开平方竖式的排法。本教程将介绍数学竖式排版的一些技巧。 (1)算术加、减、乘、除的竖式,其整数、小数位一般在4位以内,数码与数码之间一律疏排,2位数空对开,3位、4位数空三分。数式一般用三号、四号或小四号的正体数码字...
MathType单行数式的怎么转行分拆呢?
日期:2017-04-07 15:31:14
点击:200
好评:0
超过3/4版心的较长数式,可以采取 转行分拆 。当一个表达式或方程式需要断开,用两行或多行来表示时,最好在紧靠其中记号=、+等处断开,用在下一行开头,不重复这一记号。等号=可以放在转行的开头,数式中两式互乘时,有时不加乘点,但在转行处必须加上。转行分拆主要有宝塔式和阶梯式两种。 宝塔式排法 单层的长式,转行...
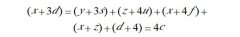
MathType矩阵排版知多少?
日期:2017-04-07 15:28:46
点击:200
好评:2
矩阵 是由若干个元素排成的一个矩形。横排的也是称为行,竖排的也是称为列,但其行数与列数不一定相等。矩阵的表示形式有()、[]。()、[]是矩阵的符号,它的长度上齐第一行的字头,下齐末一行的字角。它的公式如果行数与列数相等,就是方形,称为方阵。如果由mn个数排成一个m行与n列的长方形表,称为矩阵。如下列方阵和...
Word文档怎样设置日期控件
日期:2017-03-31 12:55:02
点击:200
好评:0
自己制作好的word文档,如果需要别人填写出生日期,可以通过使用日期控件来保证别人输入的日期格式一样。 1、如图,比如我们要在出生日期后面添加一个日期控件,就将光标定位在出生日期:后面。 2、然后点击开发工具下的日期控件,如图所示。 3、点击日期控件之后,出生日期:后面就会有一个文本框,这时候我们点击一下设...
Word表格自动求和(多版本)
日期:2017-03-29 16:20:02
点击:200
好评:0
Excel可以求和,Word也不甘示弱,如果表格的某一列全是数字,可以用求和公式算出这一列的总和;操作的步骤也十分简单,点击一下公式就能轻松实现。 由于 Word2013、2010 和 Word2003 的表格自动求和步骤有些不同,所以分别介绍。 一、Word2013表格自动求和 1、快捷步骤 把光标定位到待求和列的最后(最后一个数字下一行)...
Word显示网格线(多版本)
日期:2017-03-29 16:18:40
点击:200
好评:0
在 Word 中,行与行之间的分隔线(像信纸一样)叫绘图网格线,在默认情况下是不显示的,毕竟一般的文档不需要。如果要制作信纸这类文档,如何让Word显示网格线呢? 由于不同的 Word 版本,显示方法不同,所以分别介绍 Word2013、2010、2007 与 Word2003 显示网格线的方法;众所周知,Word2007 以上版本,版面布局基本一样...
word如何删除页眉页脚(多版本)
日期:2017-03-29 16:17:21
点击:200
好评:0
在 Word 文档中插入页眉页脚之后,如果不想要了,如何删除页眉页脚呢?通常删除方法有两种,由于不同的 Word 版本,删除方法不同,所以分别介绍 Word2013、Word2010 和 Word2003 删除页眉页脚的方法。 一、Word2003 如何删除页眉页脚 方法一: 1、双击页眉区域进入编辑...
文档中一些内容输入有误,需要批量修改, 你是不是会有一种感觉:老天一定是在逗我! ...
我们经常会看到一些图书、杂志或报纸是的文字排版效果非常美观,层次清晰。 是为什么...
自动调整单元格大小其实是根据单元格中的内容而定的,挺好的功能,避免我们总是为单元...
相信绝大数的人不会去查看Word文档被修改过几次,觉得没什么用,但是这不代表在我们以...
Word文档内容若是太多的话,通常我们都会给文档添加页码,方便我们记住看到了哪一页,...
在编辑word文档时,有些重要的文字和段落可以通过设置背景色来标注,这样可以很明显的...