|
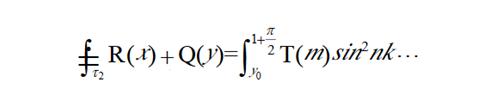
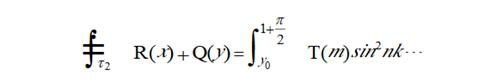
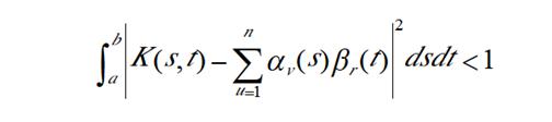
从理论上讲,有环积分中的积分函数式需要排在两个积分号的居中位置。本教程将详解有环积分的单行数式排列规则。有环积分样式如下: ![]() 在这个数式中,积分函数式“T(m) nk…”、“R(x)+Q(y)”应与“=”对齐,排在两个积分号的居中位置,不能与底线平齐。下面的排法是不正确的: ![]() 积分号上下限原则上应该排在它的上面和下面,一般用七号字。如: ![]() 在格式上,当上下限在积分号上面和下面时,不能排在上和下的居中位置,而是上限偏右,下限偏左。但如果只有一个积分号时,上下限可以排在右面,既节约版面,也简化了排版手续。如: ![]() |



