返回首页
当前位置: 主页 > Word教程 > Word2016教程 >

MathType输入绝对值符号的四种方法

时间:2025-02-16 12:55来源:Office教程学习网 www.office68.com编辑:麦田守望者

在写论文时经常会用到一些数学符号,MathType作为强大的公式编辑器,不仅支持插入特殊符号,而且数量非常多,可以满足用户的需求。以下教程举例介绍如何输入MathType绝对值符号的方法。

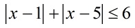
绝对值公式
MathType输入的绝对值公式示例

在MathType输入以上绝对值公式的具体方法如下:

1.在Mathtype工具栏分隔符模板下选择绝对值符号模板;

绝对值符号模板
在分隔符模板下选择绝对值符号模板

2.在绝对值符号内输入“x-1”;

3.将光标移到绝对值外(如下图),输入“+”;

光标处
光标移到绝对值外示例

4.再次选择绝对值符号模板,在绝对值符号内输入“x-5”;

5.将光标移到绝对值符号外,输入“≤”,最后输入数字6,完成公式编辑。

也可以使用以下几种方法输入绝对值符号:

方法一 使用快捷键“Ctrl+T,Shift+\”。

方法二 在“编辑”菜单下选择“插入符号”,打开插入符号对话框,选择绝对值符号。

插入符号
在插入符号对话框选择绝对值符号

方法三 使用手写输入面板输入绝对值符号

在“编辑”菜单下选择“打开数学输入面板”,在手写面板上输入,然后点击“插入”,输入到MathType。

手写输入面板
在手写面板上输入绝对值示例
------分隔线----------------------------
标签(Tag):MathType 公式编辑器
------分隔线----------------------------
推荐内容
猜你感兴趣