Word/Excel/PPT 如何自定义工具栏 打造属于自己的个性工具栏
日期:2025-02-15 08:34:02
点击:200
好评:4
添加自定义工具 步骤一、点击【文件】-【选项】-【自定义功能区】,将左边的【从下列位置选择命令】处设为【所有选项卡】,将右边的【自定义功能区】设为【主选项卡】。 步骤二、点击【新建选项卡】,然后选中刚刚新建好的选项卡,再点击下面的【重命名】,将其更名为自己想要的名称。 步骤三、在左边的选项卡下面去找选项...
停电了,电脑死机了,Word、Excel、PPT文件没保存怎么办?
日期:2025-02-18 22:03:15
点击:200
好评:8
正在处理文件,突然停电了,或者是突然电脑死机了,或者是电脑出现异常现象等等,编辑重要的文档没来得及保存,怎么办?其实,这个问题一直困扰着大家,但是至今能够拿出解决方案的很少。我们之前有提到过这个问题,但那也只是皮毛,还是不够详细。今天,易老师再来重新详细的给各位讲解一下解决方案。 其实,微软的办公软...
四百多个Word常用快捷键命令大全
日期:2025-02-05 21:57:34
点击:200
好评:2
看别人的Word水平如何,其实,快捷键就能够很好的体现出来。一般的小白,可能就习惯于用鼠标这里点,那里点。但,正真有经验的人,你让他排版一篇文档,速度是非常快的,因为几乎都是使用的快捷键来搞定。使用快捷键可以大大的提高我们的工作效率。 PS:你也不用去死记...
瞬间让你的文档高大上,word杂志风格排版实例教程
日期:2025-02-08 14:31:33
点击:200
好评:0
我们经常会看到杂志或者书里面的一些排版都非常的不错,简单精致,好的排版风格可以使读者更加有兴趣去读。所以今天,来教一下大家常见的一种杂志分栏排版风格,可以分分钟让你的排版更加高大上! 效果图 先看看最终的效果图吧!是不是非常的高大上。 页面设置 步骤一、进入【布局】选项卡,点击【页面设置】右下方的小按...
利用word手工打造超赞流程图实例教程
日期:2025-02-13 14:29:34
点击:200
好评:2
教大家做一个精美的流程图,说到流程图,大家肯定会说Word里面本身自带了那么多流程图,还用你教吗?NO,NO,NO!我这里要教大家的是自己绘制流程图,Word自带确实有很多,但是并没有我们绘制出来的效果好哟! 页面设置 步骤一、【布局】-【页面设置】点击页面设置有下方的按钮,在弹出的【页面设置】对话框中的纸张方向设...
利用word通过简单的装饰让你的文档亮起来
日期:2025-02-16 14:26:54
点击:200
好评:0
我们经常在排版文档时候都是偏偏一律,没有任何创新和美化,这样会显得排出来的文稿非常的枯燥乏味。其实,有时候我们稍作修改就可以让文档更加的美观。本文中我将用到两个素材,将文档稍作修改,效果也是非常的明显。 排版前后对比 先看看没排版前和排版后的区别效果吧! 纸张设置 步骤一、进入【布局】选项卡,点击【页...
MathType中控制字距嵌空的技巧
日期:2025-02-10 15:34:08
点击:200
好评:0
在一些复杂的等式中,在书写时一定要注意格式,否则会造成运算错误。在本例中我们将学习在MathType中通过简单设置控制 字距嵌空 。创建的效果如下图所示: 以下步骤教您如何创建: 1、在积分面板中的 图标上点击插入一个确定的积分号,或者按下Ctrl+I组合键,在大光标位置键入被积函数同时再小光标位置输入积分的上限1和下...
MathType和你一起扒一扒复杂单行数式的排列规则
日期:2025-02-06 15:33:35
点击:200
好评:0
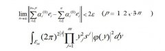
使用MathType数学公式编辑器软件编辑公式时,需要注意的一个问题是排版。当一个 单行数式 里面集聚了总和号、极限、最大值、连乘号等时,排版问题就多了起来,本文将带你一起扒一扒复杂单行数式的排列规则。 极限lim用正体小写英文字母,总和和连乘号用正体大写希腊字母。所有总和号、极限、连乘号、最大值、最小值等,t它...
MathType有环积分号的单行数式排列规则
日期:2025-02-14 15:33:01
点击:200
好评:0
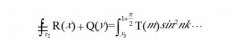
从理论上讲, 有环积分 中的积分函数式需要排在两个积分号的居中位置。本教程将详解有环积分的单行数式排列规则。有环积分样式如下: 在这个数式中,积分函数式T(m) nk、R(x)+Q(y)应与=对齐,排在两个积分号的居中位置,不能与底线平齐。下面的排法是不正确的: 积分号上下限原则上应该排在它的上面和下面,一般用七号字...
Word 2016制作收款单实例教程
日期:2025-02-18 16:36:30
点击:200
好评:8
前面教大家了如果制作借款单,有借款单那就肯定也有收款单,这个在企业单位中用得也比较多。今天易老师再来教大家怎样制作收款单。相信日后在企业办公中你会有所用途。 页面设置 步骤一、同样,我们先设置一下页面。首先进入【布局】选项卡,点击【页面设置】右下角按钮,【页边距】中将上、下、左、右边距都设为2厘米。...
想制作出符合心意的 Word 表格,我们往往还需要对表格进行微调。 因而,本文就为大家...
我们在Word中编辑文档的时候,经常因为文档中内容很凌乱,花费大量的时间去整理,并且...
如果你想要查看文档哪里被修改过?你会怎么操作?很多新手小白会同时打开修改前后的两...
当我们从网络上拷贝一些资料到Word中进行编排时,通常你会发现拷贝过来的内容在其段落...
作为一名办公人员,如果你的单位与一些香港或台湾的客户合作,那么,在制作或编辑合作...
在日常生活中,在商店购物时,经常可以看到,商品架上放有产品贴纸标签,用于消费者识...